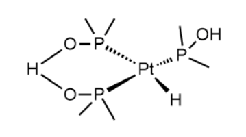
CAS NO.173416-05-2
Pt Series ( Platinum )
CAS No.173416-05-2
PARKINS' CATALYST
HYDRIDO(DIMETHYLPHOSPHINOUS ACID-KP)[HYDROGEN BIS(DIMETHYLPHOSPHINITO-KP)]PLATINUM (II)
CAS No.173416-05-2
PARKINS' CATALYST
HYDRIDO(DIMETHYLPHOSPHINOUS ACID-KP)[HYDROGEN BIS(DIMETHYLPHOSPHINITO-KP)]PLATINUM (II)
0
Product Details
Product Details
Related Products